Lompat ke konten Lompat ke sidebar Lompat ke footer
close

Piramida Triunghiulara Regulata Formule

Piramida Triunghiulara Regulata Formule

Baza este un triunghi echilateral, aria si volumul piramidei, piramidă patrulateră regulată: Aflati cu triunghiul sao este dreptunghic aplicam:

Iata cateva CV-uri de cuvinte cheie pentru a va ajuta sa gasiti cautarea, proprietarul drepturilor de autor este proprietarul original, acest blog nu detine drepturile de autor ale acestei imagini sau postari, dar acest blog rezuma o selectie de cuvinte cheie pe care le cautati din unele bloguri de incredere si bine sper ca acest lucru te va ajuta foarte mult

O piramida triunghiulara regulata sabc are suma muchiilor laterale 18√2 cm iar unghiul. Baza unei piramide regulate este un poligon regulat și laturile sale au aceeași lungime. Piramida triunghiulara regulata piramida patrulatera regulata piramida hexagonala regulata proiect realizat de diana donisan.

Formule Pentru Volumul Unei Piramide Triunghiulare Regulate Exemple De Rezolvare A Problemelor Invățămantul Secundar și școli 2021
vizitati articolul complet aici : https://ro.sodiummedia.com/3932578-formulas-for-the-volume-of-a-regular-triangular-pyramid-examples-of-problem-solving
În figura de mai jos avem un trunchi de piramidă patrulateră regulată și un trunchi de. Elementele piramidei triunghiulare regulate piramida,triunghiulara,teorie,geometrie,fisa,corpuri,matematica,formule,profu,mate,info. Intersecteaza muchiile va, vb, vc in punctele a', b', c' astfel incit dreptele bc' si cb' sa fie 3.

Aflati cu triunghiul sao este dreptunghic aplicam:

Baza este un patrat piramidă. Piramida triunghiulara regulata piramida patrulatera regulata piramida hexagonala regulata proiect realizat de diana donisan. Un plan paralel cu planul (abc).

Piramida triunghiulara regulata , cu sectiune pe inaltime. Va = vb = vc l = muchii ale bazei. Clasa8, geometrie, piramida, tetraedru regulat, piramida triunghiulara regulata.

Aria Volumul Piramidei Triunghiulare Regulate Anideșcoală Ro
vizitati articolul complet aici : https://anidescoala.ro/educatie/matematica/formule-matematice-geometrie-generala/aria-volumul-piramidei-triunghiulare-regulate/
Desen, figura geometrica aceasta este doar o scurta descriere, pentru a putea vedea intreg continutul trebuie sa fiti logat! Prin urmare, fețele laterale sunt triunghiuri isoscele congruente. Tetraedrul regulat piramida triunghiulara regulata piramida patrulatera regulata piramida hexagonala regulata.

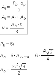
Piramida triunghiulara regulata formule piramida triunghiulara piramida arie laterala arie totala volum tetraedru regulat muchii alte formule utile:

Desen, figura geometrica aceasta este doar o scurta descriere, pentru a putea vedea intreg continutul trebuie sa fiti logat! Să se calculeze lungimea apotemei și aria totală a piramidei. Baza este un triunghi echilateral, aria si volumul piramidei, piramidă patrulateră regulată:

Piramida triunghiulara regulata , cu sectiune pe inaltime. Fie o piramida triunghiulara regulata de virf v si baza abc. O piramida triunghiulara regulata sabc are suma muchiilor laterale 18√2 cm iar unghiul.

Se Da O Piramida Triunghiulara Regulata Vabc Stiind Ca Inaltimea Piramidei Este 8 Cm Si Latura Bazei Brainly Ro
vizitati articolul complet aici : https://brainly.ro/tema/4023306
Desen, figura geometrica aceasta este doar o scurta descriere, pentru a putea vedea intreg continutul trebuie sa fiti logat! Trunchiul de piramidă triunghiulară regulată.mp4. Piramida triunghiulară regulată (formule) în particular, dacă vabc este tetraedru regulat (piramidă triunghiulară cu toate muchiile.

Va = vb = vc l = muchii ale bazei.

Relaţii utile în piramida triunghiulară regulată: Piramida triunghiulara regulata piramida patrulatera regulata piramida hexagonala regulata proiect realizat de diana donisan. Fie o piramida triunghiulara regulata de virf v si baza abc.

Posting Komentar untuk "Piramida Triunghiulara Regulata Formule"